Cập nhật bảng giá đất TPHCM năm 2025 sau sáp nhập
Báo Lao Động tổng hợp bảng giá đất ở đô thị Thành phố Hồ Chí Minh sau sáp nhập năm 2025, bao gồm tỉnh Bà Rịa - Vũng Tàu (cũ) và tỉnh Bình Dương (cũ).
Sở Nông nghiệp và Môi trường đã gửi cho UBND TP.HCM Công văn 3785/SNNMT-KTĐ năm 2025 về việc áp dụng bảng giá đất từ ngày 1.7.2025 trên địa bàn Thành phố Hồ Chí Minh.
Đồng thời, căn cứ theo quy định tại khoản 12 Điều 1 Nghị quyết 202/2025/QH15 sắp xếp toàn bộ diện tích tự nhiên, quy mô dân số của Thành phố Hồ Chí Minh, tỉnh Bà Rịa - Vũng Tàu và tỉnh Bình Dương hợp nhất vào thành phố mới có tên gọi là Thành phố Hồ Chí Minh.
Bảng giá đất được xây dựng theo vị trí, khu vực, tuyến đường cụ thể có tên trong bảng giá đất của 3 tỉnh, thành trước khi sáp nhập sẽ áp dụng theo nguyên tắc tại vị trí, khu vực và tuyến đường cụ thể tại địa giới hành chính của 3 tỉnh trước khi sáp nhập, tương ứng địa giới hành chính của 168 đơn vị hành chính cấp xã trên địa bàn Thành phố Hồ Chí Minh.
Theo đó, bảng giá đất ban hành theo Luật Đất đai 2013 của địa phương nào sẽ được tiếp tục áp dụng theo nguyên tắc vị trí, khu vực, tuyến đường cụ thể của địa phương đó.
Từ ngày 1.7 đến hết ngày 31.12 tiếp tục áp dụng bảng giá đất đã được ban hành tại từng địa phương trước khi sáp nhập.
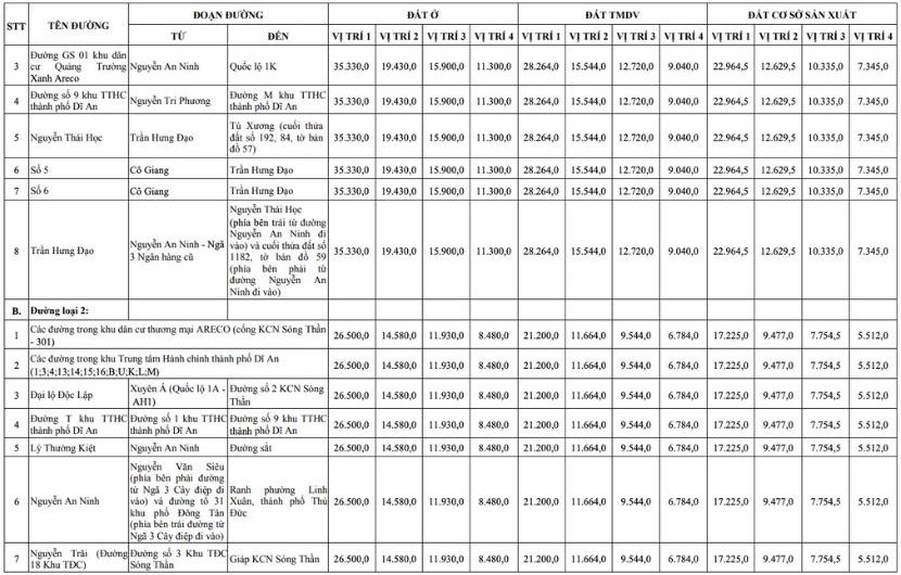
Dưới đây là bảng giá đất tại một số khu vực của Bình Dương (cũ) thuận lợi về kinh tế, xã hội, hạ tầng giao thông thu hút nhiều nhà đầu tư trong và ngoài nước.
Bảng giá đất phường Bến Cát

Phường Bến Cát có vị trí thuận lợi cho việc kết nối nội vùng và liên vùng với hệ thống cơ sở hạ tầng đang dần được hoàn thiện. Đây cũng là địa bàn tập trung nhiều khu công nghiệp như: Bến Cát, Mỹ Phước,…Theo Nghị quyết 20/2024/NQ-HĐND điều chỉnh bảng giá đất của Hội đồng nhân dân tỉnh, giá đất cao nhất tại Bến Cát thuộc các tuyến đường loại 1 ở các vị trí như: Lô A, Lô C chợ Bến Cát hoặc bến xe vào chợ Bến Cát, dao động khoảng 22,77 triệu đồng/m2.
Mức giá cao nhất hơn 22 triệu đồng/m2 nằm tại con đường từ bến xe vào chợ Bến Cát (Lô D), cụ thể là đoạn Hùng Vương (thửa đất số 98 và 766, tờ bản đồ 29) đến thửa đất số 71 và 235, tờ bản đồ 29. Đưa ra thị trường giá cao nhất cũng nằm tại lô A chợ Bến Cát từ thửa đất số 162, tờ bản đồ 29 đến Ngô Quyền (thửa đất số 353, tờ bản đồ 29).
Mức giá thấp nhất từ 1,3 - 2 triệu đồng/m2 tọa lạc tại đường, đoạn đường hoặc lối đi công cộng có bề rộng dưới 4 mét.
Bảng giá đất phường Dĩ An
Phường Dĩ An cũng là một trong những điểm nóng về bất động sản của Bình Dương bởi có vị trí kết nối thuận tiện, cơ sở hạ tầng khá hoàn thiện, tập trung đông dân cư, nhu cầu về đất đai, nhà ở luôn ở mức cao.
Theo giá đất được quy định trong Nghị quyết 20, khu vực có giá đất cao nhất thành phố thuộc về các tuyến đường loại 1, ở vị trí 1 như: Trần Hưng Đạo, Cô Bắc, Cô Giang, Nguyễn Thái Học, đường 9 khu trung tâm hành chính thành phố Dĩ An,… với mức khoảng 35,3 triệu đồng/m2.
Mức giá rao bán thấp nhất chỉ từ 3,13 triệu đồng/m2 là đường, đoạn đường hoặc lối đi công cộng có bề rộng dưới 4 mét, phạm vi từ 200 mét trở lên (tính theo đường bộ đến thửa đất) thông ra đường phố loại 5.

Bảng giá đất xã Phú Giáo
Phú Giáo là xã có diện tích rộng, địa hình đa dạng. Tại xã Phú Giáo, giá đất cao nhất ở các vị trí thuộc khu vực thị trấn tại các vị trí 1, đường loại 1, chẳng hạn như Độc Lập, đường Cửa Bắc, cửa Nam,… với mức giá khoảng 9,5 triệu đồng/m2.
Bảng giá đất phường Tân Uyên
Phường Tân Uyên nằm về phía Bắc của tỉnh Bình Dương (cũ), có vị trí giao thông rất thuận lợi với các tuyến đường như: Quốc lộ 13, 14, cao tốc kết nối thành phố Hồ Chí Minh, Bình Phước, Đồng Nai chạy qua.
Đất thổ cư ở Tân Uyên có mức biến động lớn, mức dao động rộng. Đất tại các trục đường chính hoặc gần các khu công nghiệp, vị trí đẹp, có thể kinh doanh, có thể lên tới hơn 21 triệu đồng/m2. Trong khi đóm đất tại một số khu vực tại ngoại thành hoặc ven đô có thể ở mức khoảng 4 triệu đồng/m2.



